高效的硅片清洗需要最佳的工艺控制,以确保在不增加额外缺陷的情况下提高产品产量,同时提高生产率和盈利能力。
硅半导体器件是在高度抛光的晶片上制造的。晶圆上的划痕和其他缺陷可能会影响最终产品的性能。因此,表面准备是获得干净、镜面抛光、未受损硅表面的关键步骤。化学清洗是一种行之有效的方法,用于去除晶圆表面的污染物。最常见的工艺是RCA清洗,通过两个连续的标准溶液清洗晶圆。标准清洁1 SC1浴(或氨过氧化物混合物APM)由NH4OH和H2O2组成。标准清洁2 SC2浴由盐酸和H2O2制成。有效清洗晶片的关键因素是清洗槽的停留时间和最佳化学浓度。对主要SC1/SC2槽成分的快速在线监测保证了晶片产量的增加,同时降低了缺陷密度。
SC1浴从晶片上去除颗粒、薄膜和有机残留物,并在表面形成薄氧化层。然而,过渡金属氢氧化物也可以保留在晶片表面上。也就是说,在后化学机械平面化化学机械抛光清洗顺序中,SC2浴变得至关重要。SC2浴是酸性的,有助于去除表面的碱和过渡金属。这种清洗过程在晶片表面留下一层薄的钝化层,以避免未来的污染。

图1 用于清洗液分析的在线近红外光谱(NIRS)系统配置
导体器件越小,从硅片表面去除小颗粒就越困难。因此,半导体制造商在洁净室内部的湿台中执行标准清洁步骤,以控制环境并避免进一步污染。这种设置留给安装分析系统的空间非常有限。此外,应避免在洁净室区域内进行任何化学处理,以提高人身和生产安全,并避免污染晶圆。
在标准清洗液中同时监测多个参数的一种更安全、更高效、更快速的方法是使用无试剂近红外光谱(NIRS)进行在线分析。浴槽的实时分析将化学物质浓度保持在严格的规格范围内,将它们的消耗量减少了约25%,每年为每个浴槽组件节省数万美元。
当洁净室空间有限时,过程分析仪可以安装在地下核心设施的洁净室外,或者只是安装在嵌入处理单元或工具本身的湿工作台下面。仪器与采样点之间的距离(多路复用器选项可达9个)可以相隔数百米,并简单地与低色散光纤与仪器接口。所有工艺浴都有一个由PFA管制成的循环循环。过程分析公司设计和定制的流电池可以夹在这些管上,便于安装,无需修改现有的设置。只要夹住流动单元,然后开始测量。

图2 过程分析仪

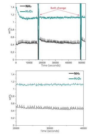
图3 SC1浴中NH3和H2O2浓度的趋势图
过程中近红外光谱的好处:
提高产品产量、再现性、生产率和盈利能力(减少晶圆报废)。
通过持续监控标准浴槽,有效清洁晶圆。
每个测量点节省更多成本,使结果更具成本效益。
由于实时监控和操作人员不接触化学试剂,生产更加安全。
为了建立一个校准模型,需要一个覆盖该过程的适当的样品范围。这些样品将通过NIRS和参考方法进行分析。NIRS数据的精度与参考方法的精度直接相关。其他应用可用于半导体行业,如:酸铜浴中的铜、硫酸和氯离子、混合酸蚀刻剂中的酸度、氢氟酸蚀刻剂、氢氧化铵和标准清洁浴中的盐酸。
NIRS分析可以将从过程到主要方法(如滴定、卡尔费舍尔滴定、HPLC、IC)进行比较,为您的过程需求创建一个简单但不可或缺的模型。通过Metrohm过程分析NIRSXDS系统获得对生产的更多控制,能够通过多路复用器选项监控多达9个流程点。
上一篇: GaN/GaAs半导体结构的电学性能
下一篇: 用于光掩模清洁的两种兆声波装置