引言
GaNis是一种宽带隙半导体,可用作GaAs器件的绝缘体或传输层,也可用作近紫外和蓝光波长的光学材料。尽管氮化镓在GaAs器件技术中有潜在的应用,但是关于氮化镓-GaAs系统的报道很少。为了评估氮化镓作为GaAs绝缘或钝化材料的潜在应用,了解界面的电气质量和相对能带偏移非常重要。考虑到这些因素,我们首次详细分析了砷化镓/GaAs半导体-绝缘体-半导体结构形式的GaAs-氮化镓界面。
实验
本文研究的样品是在两个相同的真空连接的 430分子束外延系统中生长的。对一个系统进行了改进,允许增加一个用于提供8ux电离和原子氮的MPDR电子回旋共振等离子体源。氮气取自液氮蒸发液,首先用半气体纳米过滤器过滤颗粒,最后过滤杂质。在沉积氮化镓的过程中,用扩散泵抽取过量的氮气,扩散泵使用低蒸汽压力的油和几级低温挡板来防止外延层的任何污染。对于GaAs生长,分子束外延是用标准低温泵、离子泵和低温泵泵送的。
通过从半绝缘 GaAs衬底上解吸氧化物并随后沉积GaAs缓冲层和集电极结构,图1所示的层结构以标准方式开始。为了开始氮化镓生长,关闭镓快门,同时样品在砷通量下保持在580℃。一旦氮等离子体被成功点燃,镓快门被打开,砷快门被同时关闭。在大约620℃下以每小时500埃的速率生长氮化镓,直到在大约1×10托的氮气过压下获得所需的厚度。通过原位高能电子衍射确定氮化镓大致为立方晶系,晶格常数约为4.5 A。抽真空后,样品在超高真空条件下转移到第二个分子束外延中,其中GaAs发射体。
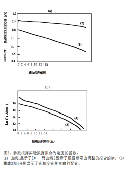
为研究选择的结构如图2所示

观察到整流行为,因为即使在15 V时反向偏置电流也非常小,而峰化偏置电流随电压快速增加。这种行为是由耗尽层的特性决定的。在反向偏置模式下,大部分施加电压通过耗尽区下降,而小于ldc的电压通过薄势垒下降。这显示在图1(a)中。在正向偏压下,集电极区进入积累状态,导致大部分电压出现在鹞上。严重倾斜它并增加提取有效杆高度问题的不必要的复杂情况如图1(b)所示。两个因素控制SIS结构中的电流,对比图1(a)和1(b),我们可以定性地看到为什么正向偏置电流大于反向偏置电流。首先,图1(b)的集电极区域中的积累带弯曲远大于积累带弯曲图1 (a)的发射器中的膨胀带弯曲。累积能带弯曲拉低了相对于费米能级的势垒顶部,从而降低了电子电流的有效势垒高度。其次,势垒的三角形顶部作为绝缘体的效率较低,因为电子可以更容易地隧穿势垒的这一薄部分。这两个因素都会导致大的正向偏置电流,
讨论
反向偏置数据s-如何显著依赖于温度,正是从这种依赖关系中,我们提取出有效的导带势垒。这一分析的基本思想是,大部分电流发生在有效势垒顶部上方的狭窄能量范围内。电子在这个能量范围内的浓度是由一个热分布函数给出的。热分布的假设是成立的,因为电子源端(反向偏置的发射极,正向偏置的集电极)处于积累状态,所以电子-电子相互作用很显著,即使对于高在导带中的电子也能保持热分布。那么在有效势垒顶部正上方的能量范围内的电子浓度是比例的。
其中t表示屏障的有效顶部(假设Ed-I z Kbi)。当能量高于α时,电子的浓度会迅速下降,因此只有势垒顶部正上方的电子会对水流。不幸的是,有效压强顶部大约比GaAs导带最小值高一个电子伏特,这使得有效质量接近无效。因此,我们不知道这个能量范围内的态密度或电子速度,所以我们唯一能做的关于电流密度的陈述。
包含电子态密度和速度信息的温度。rhis的说法相当笼统,并且可以在其他几个例子中显示,在这些例子中,大多数传导电子都处于窄能量范围内,例如肖特基势垒上的热离子发射和窄中隙状态下的传导。对于这两种情况,c分别具有U和Z依赖性。测量受到限制的相对较窄的温度范围不允许我们区分这两种情况。我留下了一个未知的数据。
绘制每个电压下测量温度的In(/) vs I/kbT曲线,给出斜率为(Ep-y)的直线。

GaAs/氮化镓界面处的积累带弯曲,是有效导带势垒高度,以及
是屏障两端的电压降(对于第一次接近,屏障的三角形部分被假定为透明的)。所以数据必须用这些方向重新调整,如图3(a)曲线2所示,而第二次拟合In( IS)如图3(b)曲线4所示。这种拟合的结果是有效导带势垒高度约为0.9 eV。即使有弯带装饰。
随着电压的增加,仍略有下降。我们可以预期,由于氮化镓和GaAs之间非常大的晶格失配(大约17%)引起的结构缺陷,大量的缺陷态遍布氮化镓禁带。随着电压的增加,由于势垒倾斜,正好在导带边缘下方的缺陷态中捕获的电子可以更容易地通过低能侧逃逸。因此,更多的电流通过中间间隙状态传导,这降低了总的有效势垒高度。强电压依赖性可归因于总有效势垒高度随电压的降低,这是因为传导电子能量范围的向下移动以及C所衍生的状态的速度和密度的相应降低。
结论
总之,我们提出了第一个测量GaAs/甘孜GaAs SIS结构。对ZK特征的温度依赖性的分析决定了有效导带势垒高度的值为0.9 eV。氮化镓被证明是GaAs系统的高效绝缘材料。未来的工作将研究氮化镓作为钝化或绝缘材料应用于GaAs器件技术的潜力。
下一篇: 标准清洗槽中的质量参数的监控方法