Typical silicon wafers used in electronic industry for integrated circuits are sliced from Czochralski (CZ) grown silicon monocrystal ingots. Such single crystals are pulled from melt in silica crucible which incorporates oxygen atoms into the silicon crystal. The oxygen atoms occupy interstitial sites in the Si lattice and can form nuclei of SiO2 clusters. The thermal processing of such silicon crystals induces oxygen diffusion and growth of oxygen precipitates. The thermal history of each wafer during crystal growth is responsible for various distribution of the interstitial oxygen and oxide nuclei in different parts of the crystal.
These defects exhibit a specifific lateral concentration distribution on the Si wafer surface as well as along the ingot growth direction. It is determined by the growth rate, temperature gradients and by cooling conditions during crystal pulling and on other growth parameters. The physical models of defects evolution during the ingot growth are very complex and it is even more diffificult to understand oxygen precipitation in individual Si wafers during the technological annealing since processes at wafer surface play also a signifificant role.
processes at wafer surface play also a signifificant role. In this paper we investigate oxygen precipitation in CZ-Si wafers after various temperature processes studying the impact of various TR preannealing where temperature history was not eliminated completely but only different stages of suppression were reached. Samples without and with TR preannealing using various temperatures and times were measured by infrared (IR) absorption spectroscopy and results were compared with chemical etching and transmission electron microscopy (TEM). The inflfluence of temperature history observed in wafers from the head and tail of the ingot is also discussed in this paper.
The temperature treatment of all samples was carried out in a conventional laboratory furnace at atmospheric pressure using nitrogen flflow atmosphere. The wafers were chemically polished before annealing in order to eliminate creation of slide dislocations at sample boundaries. Typically 20 mm thick surface layer was removed by chemical cleaning before and after annealing.
The IR absorption spectra of oxygen precipitates were obtained from transmittance measurements of Si wafer samples using a Fourier transform spectrometer BRUKER IFS 55 EQUINOX. A Globar source and optics including KBr beamsplitter and KBr windows were used in order to collect spectra in the spectral range from 500 to 6000 cm 1 although the most important part for the analysis was in the range from 900 to 1300 cm 1 . A resolution of 2 cm 1 was chosen in order to resolve fifine peak structure of interstitial oxygen at cryogenic temperatures. Measurements were performed at room temperature and at 77 K using a liquid nitrogen cryostat GRASEBY SPECAC.

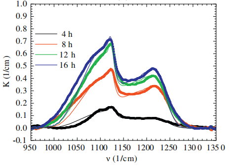
Fig1
Both Figs. 1 and 2 display also the result of a simulation of absorption coeffificient spectra according to the fifit of the model described in Section 3.1 using three types of precipitates with three different aspect ratios. More different types would lead to better fifit however the fifitting model would be less conditioned. Since three absorption bands in the measured spectra are clearly observed, we limit the model only to three different types— aspect ratios where each type can have also different volume fraction and stoichiometry.
下一篇: 硅异质结光电探测器的光谱灵敏度