摘要
铜氧化物(CuO)薄膜是用于PSC和p-n结SC的候选材料。通过化学浴沉积(CBD)在玻璃基板上沉积了这些薄膜,并研究了在马弗炉中以300、350、400、450和500°C的温度下进行1小时退火处理对不同物理性能的影响。XRD光谱与CuO的单斜性质相匹配。XRD结果表明,随着退火温度的升高,晶粒尺寸增加。拉曼光谱证实了CuO相的形成。UV-vis光谱显示在可见光区域有优秀的光吸收,并且吸收系数保持较高。光学带隙能量在1.45至1.52 eV的范围内随着退火温度的升高而降低。通过热电/热探针确定的导电类型证实了p型导电性。所得结果表明,具有优异光学性能和p型特性的CuO薄膜可以与n型层可靠地结合在n-i-p PSC和p-n结太阳能电池结构中。
一、介绍
最近,过渡金属氧化物因其潜在应用在太阳能电池、光伏设备、薄膜锂离子电池;超级电容器、传感器、显示器、电致变色涂层和光催化等方面的特性而受到关注。在过渡金属氧化物中,铜氧化物材料具有多种优势,如无毒性、低成本生产以及起始材料的丰富性。它们的光学带隙位于适合太阳能转换的范围内。铜氧化物是一种p型二元半导体,存在于三种结构相中: cuprous oxide(Cu2O)、paramelaconite(Cu4O3)和tenorite(CuO)。 Cuprous oxide形成立方结构,晶格参数为4.27Å,Cu4O3具有四方形结构,晶格参数为a = b = 5.837Å,c = 0.9932Å。在它们当中,铜氧化物(CuO)因其具有单斜结构中氧的平面四边形配位而独树一帜。
在这项工作中,我们使用Cu(CH3COO)2通过化学浴沉积法在玻璃基板上沉积了CuO薄膜,并在马弗炉中以不同的温度(300-500°C)对制备的薄膜进行退火处理1小时。最后,我们研究了退火处理对物理性能的影响,如结构、光学和导电类型,以应用于钙钛矿太阳能电池(PSC)中的空穴传输层或p-n结太阳能电池结构中的光吸收层。
二、实验
1、材料
为了制备CuO薄膜,我们从Sigma Aldrich购买了高纯度的铜乙酸盐(Cu(CH3COO)2,99.999%纯度)作为源材料,并直接使用。使用水溶液中的氨水来保持pH值约为11,并使用二乙醇胺(DEA)作为催化剂来控制反应。DEA是一种无色试剂,呈粉末状或粘稠液体,用作溶剂和稳定剂。我们使用显微镜玻璃片作为基底材料。
2、衬底清洁
在沉积CuO薄膜之前,玻璃基板进行了彻底的清洗。首先,玻璃基板用洗涤剂清洗15分钟,然后使用电动牙刷和洗涤剂在蒸馏水中擦拭基板。接下来,玻璃基板分别在异丙醇和丙酮中超声清洗10分钟,然后在60°C的烤箱中干燥。所有这些清洗过的基板在沉积前存放在异丙醇中。
3、铜(II)氧化铜(氧化铜)的合成
使用99.999%纯度的醋酸铜(Cu(CH3COO)2)作为起始材料,通过化学浴沉积技术合成了铜氧化物薄膜,并将CuO薄膜沉积在经过良好清洗的玻璃基板上(Reyes-Vallejo等人,2022)。将醋酸铜溶解在100ml蒸馏水中,制备0.1M浓度的溶液。在室温下搅拌1小时,以获得完全溶解的均匀溶液。通过加入水合氨来维持该溶液的pH值为11。当该溶液的温度达到90°C时,将经过清洗的玻璃基板浸入其中15分钟,使铜沉积在这些基板上(Mude等人,2022)。重复同样的过程来制备更多的样品。将沉积的薄膜在60°C下干燥10分钟,然后在烘箱中干燥。将干燥的样品用蒸馏水冲洗,以去除表面上的较大和松散的颗粒。然后将这些制备的薄膜在管式炉中在不同的温度(300、350、400、450和500°C)下退火1小时。
4、.X射线衍射(XRD)
X射线衍射分析提供了关于材料和薄膜中成分的结构排列的信息。我们收集了衍射角度范围为20-60°的XRD光谱,使用Cu Kα辐射(Cu=1.5406Å)。XRD数据用于研究由0.1M浓度溶液制备并经不同温度(300、350、400、450和500°C)退火的CuO薄膜的结构性质。图1显示了所有CuO薄膜的XRD光谱,表明这些薄膜是多晶态的。在衍射角度(2θ)为36.27、39.48和49.41°处观察到CuO薄膜的不同衍射峰,它们分别对应于(002)、(111)和(-202)的取向,与“JCPDS”(粉末衍射标准联合委员会)卡片No. 45-0937相应的晶面。这些XRD光谱表明,退火温度会影响CuO薄膜的结晶性。图1显示,首选取向是沿着(002),并且随着退火温度的升高,结晶性得到改善。此外,图1说明,随着退火温度的升高,反射X射线的强度增加,这表明样品的结晶性得到改善。

图1 在不同退火温度下制备的氧化铜薄膜的XRD光谱。
5、光学特性
通过入射光250-1000nm光谱采集的透射数据,测定了氧化铜薄膜的光学性质。根据所得到的传输数据,计算了吸收系数、带隙能量、消光系数等光学参数。
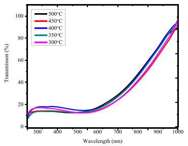
透射光谱:图2显示了在不同的退火温度下制备的CuO薄膜的透射光谱。透射与波长的关系表明,在入射太阳光光谱的可见光区域,透射较低。这有助于得出结论,制备的CuO薄膜在可见光区域具有良好的光吸收性能。此外,随着退火温度的变化,透射行为略有变化。还观察到近红外区域的透射增加。

图2 在不同温度下退火后的氧化铜薄膜的透射光谱
三、结论
这项研究工作中获得的所有结果都强烈支持,由于具有非凡的结构和光学性质,纯CuO薄膜是用于钙钛矿太阳能电池中空穴传输层的优异材料。
未来,计划改变掺杂浓度和退火温度以获得CuO薄膜。具有优化浓度的CuO薄膜将在FTO和ITO玻璃基板上生长,以满足研究社区更广泛的兴趣。具有独特性质的制备薄膜将提高PSC的效率和稳定性。